https://www.cs.toronto.edu/~tijmen/csc321/slides/lecture_slides_lec6.pdf
https://arxiv.org/pdf/1609.04747
Overview of mini-batch gradient descent
Reminder: The error surface for a linear neuron
- linear neuron의 error surfaces는 2차 보울(그릇) 형태를 갖는다.


- multi layer, non-linear nets의 경우에는 훨씬 복잡한 형태의 error surface를 갖지만, 부분적으로 2차 보올 형태를 대략 차용한다. (locally)

Convergence speed of full batch learning when the error surface is a quadratic bowl
- small distance를 이동하고 싶을 때는 gradient big
- large distance를 이동하고 싶을 때는 gradient small
- non linear, multi layer is locally qudartic bowl ... so same issues apply
How the learing goes wrong
- if learnig rate is too big (i.e. travel distance is big) ~ oscillation diverges
- learing rate ~= step size ~= 이동 폭
- our goal
- consistant gradient : move quickly, small
- inconsistant gradient : move slowly, big

Stochastic Gradient Descent
- 데이터셋이 매우 중복되어 있을 경우, gradient on first half ~= gradient on second half
- 전체를 계산하는 대신에, first half의 gradient를 이용해 가중치를 업데이트를 한 뒤 새롭게 second half의 gradient를 얻는다.
- 극단적인 경우에, 각 단계마다 가중치를 업데이트하게 되는데, 이를 'online learning'이라고 부른다.
- 임의로 선택한 데이터에 대해 gradient를 계산하여 속도가 빠르며 online으로 학습 가능
- 전체를 계산하는 대신에, first half의 gradient를 이용해 가중치를 업데이트를 한 뒤 새롭게 second half의 gradient를 얻는다.
- mini-batches are better than online learning
- less computation
- matrix - matrix multiplies
- but, neet to be balanced for classes
- neural networks가 커다랗고, 매우 중복되는 훈련 데이터셋일 경우엔 mini-batch를 사용하는게 거의 best.
- fancy method(모멘텀, 아다그라드 ...)를 적용하려면 mini-batch가 상당히 커야함
A basic mini-batch gradient descent algorithm
- initial learning rate
- reduce : error going worse or oscillates wildly
- increase : falling fairly consistently but slowly
- end of learning
- reduce learning rate
- mini-batch 간 차이로 인한 최종 가중치의 변동성 제거
- stop learning rate
- when error stops decreasing
- Use the error on a separate validation set
- reduce learning rate

A bag of tricks for mini-batch gradient descent
Be careful about turning down the learning rate
- learning rate를 줄이게 되면 오차의 변동성이 줄어든다. (다른 미니배치들의 gradient로 인한)

Initializing the weights
- break symmetry by initializing with small random values (무작위 값 배정)
- when hidden unit has a big fan-in (은닉충의 input 뉴런 개수가 큰 경우)
- small changes of weights cause overshoot
- initialize the weights to be proportional to sqrt(fan-in)
Shifting & Scaling the inputs

- Batch 단위간 데이터 분포 차이 발생 가능 (Batch 간 데이터 상이) ~ Internal Convariant Shift
- shift, scaling을 통해 zero mean, unit variance를 갖도록 조정 ~ Batch Normalization
- ex) 하이퍼볼릭 탄젠트 함수는 대략 0의 평균을 갖는 활성화 함수이므로 시그모이드 함수보다 나음
- shift, scaling을 통해 zero mean, unit variance를 갖도록 조정 ~ Batch Normalization
- PCA 등의 비상관화를 통해 차원 축소 가능
- 선형 뉴런의 경우, 입력 요소끼리 연관시켜 효과를 얻을 수 있음
- 축이 정렬된 타원형의 error surface를 원형의 error surface로 변환 가능
Common probelms that occurs in multilayer networks
- local minimum, plateau
- learning rate가 매우 높으면 발산하거나 plateau에서 수렴하는 문제가 발생


The momentum Method
The equations & behavior of the momentum method

- 가중치를 갱신하기 전, 이전 기울기의 방향을 참고하여 관성을 획득
- a(알파)는 모멘텀 계수로, 물체가 아무런 힘도 받지 않을 때 서서히 하강하도록 도움
- 1에 가까워질수록 속도가 훨씬 빨라짐
- gradient가 매우 높은 경우엔 작은 모멘텀을 사용함 (e.g. a = 0.5)
- gradient가 좀 줄어들고 계곡에 갇힌다면 높은 모멘텀을 사용함 (e.g. 0.9, 0.95 0.99)
- overshoot의 위협
- 이전 기울기 방향으로 너무 많이 이동해 최적점을 지나치는 문제 발생
A better type of momentum (Netrov 1983)
- 기존의 모멘텀
- 현재 위치에서 gradient를 계산 후 축적된 gradient 방향으로 크게 점프

- 관성 방향에 따라 먼저 움직인 후, 이동한 자리에서 기울기 계산 후 재이동
A separate, adaptive learning rate for each connection
The intuition
- appropriate learning rate
- 초기 가중치가 작은 경우 ~ 레이어마다 gradient 크기가 매우 다름
- 유닛의 fan-in 크기에 따라 overshoot의 크기가 결정됨
- overshoot: 동일 오류를 수정하기 위해 많은 가중치를 동시에 변경할 때 or 학습률이 너무 높을 때
- global learning rate에 각 가중치 누적합을 고려해 계산하는건 어떨까? ~ Adaptive learning rate
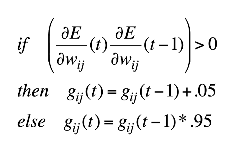
One way to determine the individual learning rates
- 모든 가중치의 local gain은 1로 시작
- 만약 현재 시점과 이전 시점의 gradient의 부호가 같다면 조금 더해주고, 다르다면 곱하여 감소시킴
- 진동이 시작되는 경우, 빠르게 변화량을 감소시킬 수 있음

Tricks for making adaptive learning rates work better
- full batch learning, big mini-batches를 사용
- gradient의 부호 변화가 mini-batch를 샘플링하면서 발생하는 것이 아님을 보증
- Adaptive learning rates는 momentum과 결합 가능
- 가중치에 대한 현재 gradient와 속도의 부호의 결합을 통해 사용
- Adaptive learning rates는 축 정렬 효과를 갖음
- momentum은 축 정렬 효과 X
RMSprop: Divide the gradient by a running average of its recent magnitude
About Rprop : Using only the sign of the gradient
- 가중치마다 gradient가 다 다를 수 있고 이는 학습 동안에 계속 변화할 수 있음
- 하나의 global learning rate를 고르는 건 어려움
- 부호만 고려하면 어떨까?
- Rprop : Gradient의 부호 (방향성) + 개별적인 학습률 (step-size)
- 기울기 방향이 동일하면 multiple로 increase
- 기울기 방향이 반대라면 multiple로 decrease
- 1/1,000,000 < step-size < 50
- mini-batch는 각 배치마다의 gradient가 다르며 가중치 업데이트 또한 독립적으로 진행됨
- 따라서 각 미니 배치마다 다른 gradient의 크기로 나누게 되어(부호만 사용하려면) 사용하기가 어려움
- 경향성 반영이 안됨
- ex) 10개의 미니 배치 중 9개에서 +0.1만큼, 마지막 10번째에서 -0.9만큼의 gradient를 얻었을 때, 부호만을 반영하는 rprop의 성질 때문에 -0.9라는 커다란 크기는 무시되고 부호만 고려되어 최종적으로 '증가'할 것
- 인접한 mini-batch에 대해 나누는 숫자가 유사하다면 어떨까?
- 경향성 반영이 안됨
- 따라서 각 미니 배치마다 다른 gradient의 크기로 나누게 되어(부호만 사용하려면) 사용하기가 어려움
About RMSprop
- 지수이동 평균(EMA)을 활용하여 최근 값을 더 잘 반영하도록 더 많은 가중치를 부여함
- *Adagrad 옵티마이저에서 기울기의 누적합이 무한대로 커지게되면 학습이 정체되는 현상이 발생하는데, 이를 방지하고자 제안됨


'논문 리뷰' 카테고리의 다른 글
| [Paper Review] Deep Residual Learning for Image Recognition (0) | 2023.08.02 |
|---|---|
| [Paper Review] Batch Normalization: Accelerating Deep Network Training by Reducing Internal Covariate Shift (0) | 2023.07.26 |